
\Even when cooled, electron spins don't freeze?/Discovered a state where electron spins remain fluctuating even at low temperatures due to ice-type structural fluctuation
Expected to elucidate the mechanism by which electron spins fluctuate while being entangled
- The research group discovered a state in a material with ice-type structural fluctuation in its atomic arrangement, where electron spins continue to fluctuate even at extremely low temperatures.
- It has been thought that electron spins can keep fluctuating at low temperatures when atoms are perfectly aligned. However, the research group has demonstrated that spin fluctuations persist even if there is disorder in the position and type of atoms.
- It is well known that substances freeze when the temperature decreases. However, it has been hypothesized and investigated the possibility of a unique state where electron spins fluctuate even at extremely low temperatures. It is expected that this will deepen the understanding of fundamental questions such as why substances freeze when the temperature falls, and why, under certain conditions, they stop freezing.
Outlines
A research group including Professor Noriaki Hanasaki of the Graduate School of Science, the University of Osaka, has for the first time in the world clarified that in materials with an arrangement of atoms like ice-type structural fluctuation, the quantum spin of electrons fluctuates even at extremely low temperatures.
Most substances in the world are known to be crystallized when the temperature drops. This is because atoms and molecules align themselves to reduce the energy of the interactions between them, and it can be considered a consequence of the third law of thermodynamics. However, in solid ice, the positions of H₂O molecules are not perfectly fixed. Since there are many states where the energy does not change even when the orientation of H₂O molecules is changed, ice is a unique state in which the orientation of molecules is fluctuating, even though it is a solid. Thus, the inability to simultaneously lower the energy of all interactions within a substance, resulting in the existence of numerous low-energy states, is called frustration.
Each atom in a substance contains electrons. For example, as indicated in Fig. 1 (a), if the electron quantum spins are at the vertices of a triangle and there is an interaction that tries to make the electron spins point in opposite directions, the interaction energy of the third electron spin in the lower right cannot be decreased whether it is pointing upwards or downwards. It has long been unclear whether such frustration causes electron spins to fluctuate at extremely low temperatures or eventually freeze. Furthermore, it has been thought that, along with frustration, the atoms must be neatly aligned for electron spins to fluctuate even at low temperatures.
In this study, the research group discovered that in a spinel oxide containing magnesium and titanium, a state in which electron spins remain fluctuated to extremely low temperatures (a random-singlet state) occurs when the positions of titanium atoms are disordered like ice-type structural fluctuation. In this state, as shown in Fig. 1 (b), orphan spins wander through the material, causing pairs of electron spins to fluctuate. This discovery clarified that even if there is disorder in the arrangement and type of atoms, electron spin can fluctuate down to extremely low temperatures. This indicates that disorder in the arrangement of atoms plays an important role in fluctuations in electron spin. This is expected to further elucidate the mechanism that stabilizes the state in which quantum spins fluctuate while being entangled, as well as deepen the understanding of the fundamental question of why matter freezes or does not freeze at low temperatures.
Fig. 1 (a) An example of electron spin frustration in a triangular lattice. The arrows in the figure represent spins. (b) A conceptual diagram of fluctuating spin. The orphan spin (red arrow) wanders, and electron pairs (red ellipses) also fluctuate. The lattice is drawn with a slight distortion.
Credit: Noriaki Hanasaki
Research Background
When electron spins are located at the vertices of a triangle as shown in Fig. 1 (a), and there is an interaction that tries to make the electron spins point in opposite directions, the third electron spin in the lower right cannot minimize all interaction energies, whether it is pointing upwards or downwards. This kind of situation is called frustration.
For many years, researchers have been diligently investigating whether frustrating lattices, such as the triangle shown above, create a unique state where the quantum spin of electrons fluctuates down to extremely low temperatures. It has been unclear whether such a unique state requires atoms to be perfectly aligned, or whether the disorder in the position and type of atoms stabilized the state in which quantum spin is fluctuating.
Research Contents
The research group used four experimental methods— heat capacity measurement, nuclear magnetic resonance (NMR) measurement, muon spin relaxation measurement, and neutron pair distribution function (PDF) analysis—to demonstrate that in spinel titanium oxides, when the arrangement of titanium atoms is disordered like ice-type structural fluctuation, the quantum spin of electrons is in a unique state (random singlet state) where it fluctuates down to extremely low temperatures.
In this state, as shown in Fig. 1 (b), it was theoretically predicted that orphan spins would be wandering around, or that two electron spins would form non-magnetic pairs, and that these electron pairs would also be fluctuating. The latter type of electron pair fluctuation can be easily understood by recalling the resonant fluctuations of the double bond in a benzene ring (the resonance states of the Kekulé structure).
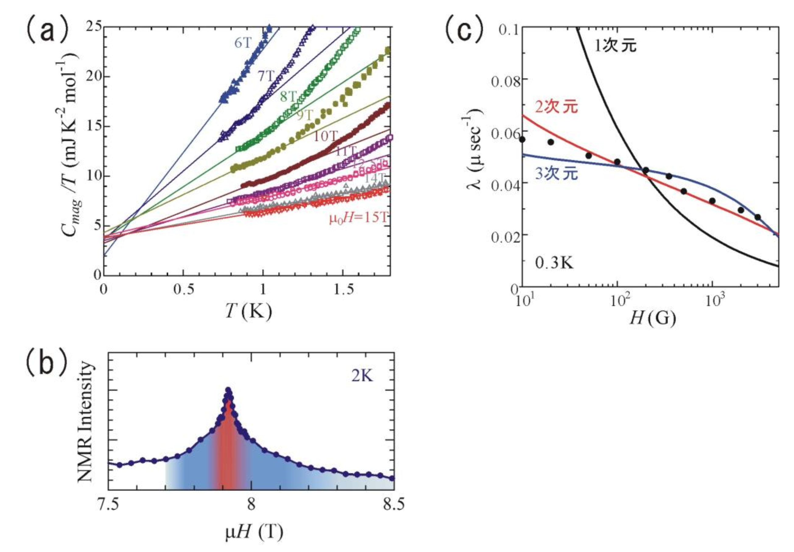
First, the researchers conducted specific heat measurements to investigate whether the electron spins were frozen at extremely low temperatures. As shown in Fig. 2 (a), even as the temperature approaches absolute zero, the value obtained by dividing the specific heat by the temperature does not approach zero. This shows that a finite amount of thermal energy is not required to excite an electronic state; in other words, electron spins can take on a wide variety of states even at extremely low temperatures.
Next, to microscopically investigate the spin state, the researchers conducted nuclear magnetic resonance (NMR) measurement. The NMR spectrum is indicated in Fig. 2 (b), and the red region indicates a sharp peak. This indicates that many electrons are forming non-magnetic pairs. Additionally, broad tails (blue areas) are visible on both sides of the peak, indicating the presence of orphan spins generating an (internal) magnetic field.
Furthermore, to investigate the dynamics of this orphan spin, muon spin relaxation (mSR) measurements were performed. As shown in Fig. 2 (c), the simulation (red line) assuming that the orphan spin moves in two dimensions can explain the test results, and it was also found that the timescale of the fluctuation of the orphan spin is on the order of nanoseconds. Thus, the test results were consistent with the properties of the random singlet state that had been theoretically predicted.
Additionally, neutron PDF analysis revealed that this random-singlet state appears only when the arrangement of titanium atoms is disordered, like ice-type structural fluctuation. When three conditions are met—quantum nature of electron spin, frustration, and structural disorder in materials—electron spins do not freeze but continue to fluctuate even at extremely low temperatures.
Fig. 2 Test results obtained with spinel-type oxide Mg1.25Ti1.75O4. (a) Change in electron specific heat Cmag with temperature (T). (b) Nuclear magnetic resonance (NMR) spectra of 47,49Ti. μH is magnetic flux density. (c) Change in muon spin relaxation rate (λ) with magnetic field (H).
Credit: Noriaki Hanasaki
Social Impact of Research
This result is expected to elucidate the mechanism that stabilizes a state in which quantum spin is fluctuating, and deepen the understanding of fundamental questions such as why matter freezes at low temperatures, and why it does not freeze under certain conditions.
The insights related to the mechanism that stabilize the state in which numerous entangled quantum spins fluctuates are expected to have potential applications in quantum computers and other fields.
Notes
The article, “Frustrated random-singlet state with ice-type structural fluctuation in spinel titanates,” was published in American scientific journal of PNAS (Proceedings of the National Academy of Science of the United States of America) (Online) at DOI: https://doi.org/10.1080/23294515.2025.2474928.


